精彩推荐:青光眼 白内障 近视 远视 散光 斜视弱视 角膜溃疡 角膜炎 沙眼 眼外伤 更多疾病
大众频道
专业频道
时尚频道
互动频道
疾 病 | 保 健 | 爱眼动态 | 名医名院
知 识 | 美 食 | 自检自测 | 爱眼纪事
资 讯 | 临 床 | 学 术 | 文 献
图 谱 | 医 患 | 继 教 | 家 园
五官之美 | 整 形 | 美 容
眼镜一族 | 妆 容 | 图 库
眼科在线 | 预留位置
眼科知道 | 在线咨询
  当前位置: 中华眼科在线 >> 医学频道 >> 临床医学 >> 论文汇集 切换到繁體中文 用户登录 新用户注册
不同类型视网膜脱离患者视网膜下积液蛋白质结构分析

http://www.cnophol.com 2008-10-17 16:02:43 中华眼科在线

  摘 要:为比较不同类型视网膜脱离(RD)患者视网膜下积液(SRF)蛋白质结构的异同,我们用傅里叶拉曼(FTRaman)和傅里叶红外(FTIR)光谱测定不同类型RD患者血清及SRF蛋白质结构。结果发现不同类型RD患者血清的两种光谱很相似,但他们的SRF的两种光谱因类型和病程而异。不同类型RD患者SRF不仅有芳香族结构明显改变,而且脂蛋白结构也有改变。

    Protein conformational analysis of subretinal fluid in different types retinal detachment

CHEN Cui-zhen(Beijing Institute of ophthalmology,Beijing100730)

  Abstract:In order to compare the protein conformation of subretinal fluid (SRF) among different types of retinal detachment (RD) by Fourier transformed Raman and infrared(FTRaman and FTIR) spectroscopy.We found that the two spectral features in the serum of patients with different RD types were essentially the same,but the two spectral features in SRF varied with the different types RD and duration.Not only had the peaks of aromatics changed obviously,but also the peaks of lipid protein too.

  Key words:retinal detachment;spectrum analysis,Raman;Fourier analysis▲

  我们曾报道[1]用傅里叶拉曼(Fourier transformed Raman,FTRaman)和傅里叶红外(Fourier transformed infrared,FTIR)光谱分析了孔源性视网膜脱离(RD)患者(包括伴高度近视患者)血清及SRF蛋白质的结构。本文继续用上述两种光谱进一步比较不同类型RD患者的血清及SRF蛋白质结构的异同。

  1 材料和方法

  1.1 材料

  脉络膜脱离2例(男,29岁,病程40天;女,58岁,病程5个月)多发,大裂孔(>3PD)2例,(男,22岁,病程1周;女,60岁,病程2周)两次RD初次手术失败1例(男,28岁,病程6个月);锯齿缘断离,SRF呈现黄色水液1例(男,30岁,病程1.5个月)。健康人血清4例,平均年龄31.3岁。按常规方法取血清和SRF。

  1.2 方法

  1.2.1 样品处理 将收集的血清和SRF样品按每例分装,冷冻干燥,密封样品管置4℃干燥器保存备用。

  1.2.2 FTRaman光谱分析 用Bruker RFS100 FRRaman光谱仪,测定时将样品装入微量样品池即可。

  1.2.3 FTIR光谱分析 用Nicolel Magna 750 FTIR中红外光谱仪,用显微红外测定吸收光谱。

  2 结果

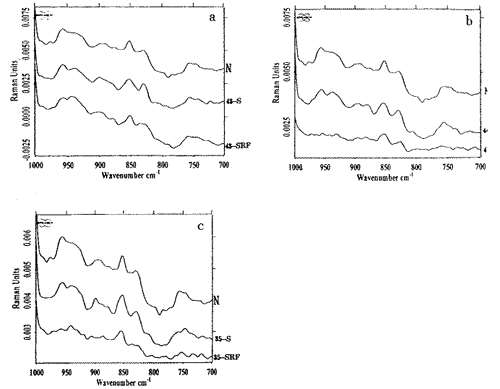
  2.1 FTRaman光谱分析实验发现不同类型的RD患者血清的FTRaman光谱与健康人血清的很相似,它们的蛋白质结构也有酰胺Ⅰ、Ⅱ、Ⅲ和芳香族的基团频率振动,其中以酰胺Ⅲ的谱峰最大,但彼此的峰面积有区别(图1)他们的SRF在700-1000cm-1的振动因RD类型不同而有明显的改变(图2,a-c)。

图 1 视网膜脱离患者血清(35-S)、SRF(35-SRF)与健康人血清(N)的FIRaman光谱

图 2 不同类型视网膜脱离(RD)患者血清及SRF的FIRaman光谱

  a 脉络膜脱离患者血清(43-S)和SRF(43-SRF)

  b 多发、大裂孔RD患者血清(40-S)和SRF(40-SRF)

  c 第2次RD手术患者血清(35-S)TSRF(35-SRF)

  2.2 FTIR光谱分析 不同类型的患者血清的FTIR光谱与其匹配的健康人血清的也基本相似。但不同类型RD患者的SRF的吸收光谱有很大差异,不仅有芳香族改变,还发现脂蛋白基团振动不一,甚至同一类型的SRF因病程不同,其间也有改变(图3a-c)。

[1] [2] 下一页

(来源:眼科 1999年第4期第8卷)(责编:duzhanhui)

下一条: 没有了
更多关于(眼睛,中华眼科在线,眼科,视网膜脱离,蛋白质)的信息
  热门图文

给男士眼部护理提个醒

10款百元内好口碑眼霜

容祖儿最抢眼的橘色眼

秋日时尚烟熏妆
  健康新看点
  健康多视点
  图话健康

Copyright © 2007 中华眼科在线 网站备案序列号: 京ICP备08009675号
本网站由五景药业主办 北京金鼎盛世医学传媒机构负责运营 国家医学教育发展中心提供学术支持
服务电话:010-63330565 服务邮箱: [email protected]