【药品名称】
通 用 名:盐酸林可霉素滴耳液
英 文 名:Lincomycin Hydrochloride
Ear Drops
汉语拼音:Yansuan Linkemeisu Di'erye
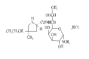
本品主要成份为盐酸林可霉素,其化学名称为: 6-(1-甲基-反-4-丙基-L-2-吡咯烷甲酰氨基)-1-硫代-6,8-二脱氧-D-赤式-α-D-半乳辛吡喃糖苷盐酸盐-水合物。
其结构式为:

分子式:C18H34N2O6S·HCl·H2O
分子量:461.02
【性 状】
本品为无色的澄明液体。
【药理毒理】
对革兰阳性菌如葡萄球菌属、链球菌属、白喉杆菌、炭疽杆菌等有较高抗菌活性。对厌氧菌也有良好抗菌活性,如拟杆菌属包括脆弱拟杆菌、梭杆菌属、消化球菌、消化链球菌、产气荚膜杆菌等大多对本品高度敏感。革兰阴性需氧菌包括流感嗜血杆菌、奈瑟菌属及支原体属均对本品耐药。本品与青霉素、氯霉素、头孢菌素类和四环素类之间无交叉耐药,与大环内酯类有部分交叉耐药,与克林霉素有完全交叉耐药性。
本品的作用机制是与细菌核糖体50S亚基结合,阻止肽链的延长,从而抑制细菌细胞的蛋白质合成。本品系抑菌药,但在高浓度时,对某些细菌也具有杀菌作用。
【适 应 症】
用于敏感菌所致的急、慢性中耳炎。
【用法用量】
滴耳。
一次1-2滴,一日3-5次。
【不良反应】
偶可有皮疹、瘙痒等过敏反应;中性粒细胞减低,血小板减低,念珠菌感染等。尚有耳鸣、眩晕等副作用。
【禁 忌】
1、对林可霉素过敏者禁用。
2、1个月以内的婴儿禁用。
【注意事项】
患者对林可霉素过敏时有可能对其他林可霉素类也过敏。
【孕妇及哺乳期妇女用药】
孕妇及哺乳期妇女慎用。
【儿童用药】
1个月以内的婴儿禁用。
【药物相互作用】
尚不明确。
【规 格】
6ml:0.18g
【贮 藏】
遮光,密封,在凉暗处保存。
【包 装】
塑料瓶;6ml
【有 效 期】
暂定二年。
【批准文号】
国药准字H42022343 |