精彩推荐:青光眼 白内障 近视 远视 散光 斜视弱视 角膜溃疡 角膜炎 沙眼 眼外伤 更多疾病
大众频道
专业频道
时尚频道
互动频道
疾 病 | 保 健 | 爱眼动态 | 名医名院
知 识 | 美 食 | 自检自测 | 爱眼纪事
资 讯 | 临 床 | 学 术 | 文 献
图 谱 | 医 患 | 继 教 | 家 园
五官之美 | 整 形 | 美 容
眼镜一族 | 妆 容 | 图 库
眼科在线 | 预留位置
眼科知道 | 在线咨询
  当前位置: 中华眼科在线 >> 医学频道 >> 临床药学 >> 解读药品 切换到繁體中文 用户登录 新用户注册
妥布霉素滴眼液

http://www.cnophol.com 2008-10-14 10:36:31 中华眼科在线



 

【药品名称】

 通用名:妥布霉素滴眼液

 英文名:Tobramycin  Eye Drops

 汉语拼音:Tuobumeisu Diyanye

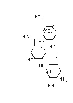
 本品主要成份为妥布霉素,其化学名为O-3-氨基-3-脱氧-α-O-葡吡喃糖基-16-O-[26-二氨基-236-三脱氧-α-D--己吡喃糖基-14]-2-脱氧-D-链霉胺。

 其化学结构式为:

 分子式:C18H37N5O9

 分子量:467.52

【性   状】

 本品为无色或几乎无色的澄明溶液。

【药理毒理】

 本品属氨基糖苷类抗生素。抗菌谱与庆大霉素近似,对大肠埃希菌、产气杆菌、克雷伯杆菌、奇异变形杆菌、某些吲哚阳性变形杆菌、铜绿假单胞菌、某些奈瑟菌、某些无色素沙雷杆菌和志贺菌等革兰阴性菌有抗菌作用;本品对铜绿假单胞菌的抗菌作用较庆大霉素强35倍,对庆大霉素中度敏感的铜绿假单胞菌对本品高度敏感。革兰阳性菌中,金黄色葡萄球

(包括产β内酰胺酶株)对本品敏感;链球菌(包括化脓性链球菌、肺炎球菌、粪链球菌等)均对本品耐药。厌氧菌(拟杆菌属)、结核杆菌、立克次体、病毒和真菌亦对本品耐药。

本品的作用机制是与细菌核糖体30S亚单位结合,抑制细菌蛋白质的合成。

【药代动力学】

 本品滴眼后有少量被吸收进入全身血液循环。

【适 症】

 本品适用于敏感细菌所致的外眼及附属器的局部感染。

【用法用量】

 滴于眼睑内。

 轻、中度感染:一次12滴,每4小时1次;重度感染:一次2滴,每小时1次。

【不良反应】

 偶见局部刺激症状,如:眼睑灼痛或肿胀、结膜红斑等;罕见过敏反应。

【禁   忌】

 对本品及其他氨基糖苷类抗生素过敏者禁用。

【注意事项】

 1. 肾功能不全、肝功能异常、前庭功能或听力减退者、失水、重症肌无力或帕金森病及老年患者慎用。

 2. 交叉过敏:对一种氨基糖苷类抗生素如链霉素、庆大霉素过敏的患者,可能对本品过敏。若出现过敏反应,应立即停药。   

3.长期应用本品可能导致耐药菌过度生长,甚至引起真菌感染。

 4. 若患者同时接受氨基糖苷类抗生素的全身用药,应监测本品及氨基糖苷类抗生素的血药浓度。

 5. 保持瓶口周围的清洁,防止污染。

 6. 对诊断的干扰:本品可能使丙氨酸氨基转移酶、门冬氨酸氨基转移酶、血清胆红素浓度及血清乳酸脱氢酶浓度的测定值增高;血钙、镁、钾、钠浓度的测定值可能降低。

【孕妇及哺乳期妇女用药】

本品滴眼后有少量被吸收进入全身血液循环,由于吸收部分中少量可穿过胎盘,也可分泌入乳汁,故孕妇慎用,哺乳期妇女使用本品期间宜暂停哺乳。

【儿童用药】

由于本品具有潜在的肾毒性和耳毒性,故小儿慎用。

【老年患者用药】

 由于本品具有潜在的肾毒性和耳毒性,故老年患者慎用。

【药物相互作用】

 1.本品与其他氨基糖苷类合用,可增加耳毒性、肾毒性以及神经肌肉阻滞作用。可能发生听力减退,停药后仍可能进展至耳聋;听力损害可能恢复或呈永久性。神经肌肉阻滞作用可导致骨骼肌软弱无力、呼吸抑制或呼吸麻痹(呼吸暂停),用抗胆碱酯酶药或钙盐有助于阻滞作用恢复。

 2.本品与神经肌肉阻滞药合用,可加重神经肌肉阻滞作用,导致肌肉软弱、呼吸抑制或呼吸麻痹(呼吸暂停)。与代血浆类药如右旋糖酐、海藻酸钠,利尿药如依他尼酸、呋塞米及卷曲霉素、顺铂、万古霉素等合用,或先后连续局部或全身应用,可增加耳毒性与肾毒性,可能发生听力损害,且停药后仍可能发展至耳聋,听力损害可能恢复或呈永久性。

3.本品与头孢噻吩合用可能增加肾毒性。

 4.本品与多粘菌素类合用,可增加肾毒性和神经肌肉阻滞作用,神经肌肉阻滞作用可导致骨骼肌软弱无力,呼吸抑制或呼吸麻痹(呼吸暂停)。

 5.本品不宜与其他肾毒性或耳毒性药物合用或先后应用,以免出现肾毒性或耳毒性。

【规    格】

 5ml:15mg1.5万单位)

【包    装】

 塑料瓶;5ml

【贮    藏】

 遮光,密闭保存。

【有 期】

 24个月。

【批准文号】

 国药准字H20054686

(来源:武汉五景药业有限公司)(责编:zhanghui)

下一条: 没有了
更多关于(眼睛,中华眼科在线,滴眼液,妥布霉素滴眼液)的信息
  热门图文

秋日时尚烟熏妆

6个小诀窍让双眼更勾魂

整形美容手术成功的四

宋慧乔三款完美异彩眼
  健康新看点
  健康多视点
  图话健康

Copyright © 2007 中华眼科在线 网站备案序列号: 京ICP备08009675号
本网站由五景药业主办 北京金鼎盛世医学传媒机构负责运营 国家医学教育发展中心提供学术支持
服务电话:010-63330565 服务邮箱: [email protected]