精彩推荐:青光眼 白内障 近视 远视 散光 斜视弱视 角膜溃疡 角膜炎 沙眼 眼外伤 更多疾病
大众频道
专业频道
时尚频道
互动频道
疾 病 | 保 健 | 爱眼动态 | 名医名院
知 识 | 美 食 | 自检自测 | 爱眼纪事
资 讯 | 临 床 | 学 术 | 文 献
图 谱 | 医 患 | 继 教 | 家 园
五官之美 | 整 形 | 美 容
眼镜一族 | 妆 容 | 图 库
眼科在线 | 预留位置
眼科知道 | 在线咨询
  当前位置: 中华眼科在线 >> 医学频道 >> 临床医学 >> 经验交流 切换到繁體中文 用户登录 新用户注册
Usher综合征的视力和视野损害

http://www.cnophol.com 2008-10-13 16:35:22 中华眼科在线

    结  果

  1型患者较好眼的视力中间值(20/40)较2型患者(20/30)下降一行。1型患者的平均(±SEM)视力为0.52±0.08logMAR(20/66),2型患者为0.34±0.05logMAR(20/43)。在这个回归模型中,Usher综合征两型之间的曲直线关系有显著差异(P=0.01;df=2)(图1)。通过运用多重变量模型,得出多重变量系数(R2)为0.38。这个有差异的曲直线关系提示,尤其是在中年时期,即一生中第三和第四个十年,1型患者较2型患者损害严重;然而,相对年轻或年老的患者差异较小。

  在表中显示了至少一眼视力达到20/40或更好的患者的比例。至少有一眼视力达到20/40或更好的患者中,1型患者的平均(±SEM)年龄(24.6±2.1岁)比2型患者(33.2±1.2岁)小8.6岁(P<0.001)。2型患者与1型患者相比,至少一眼视力达到20/40或更好的年龄校正差值比为3.9。表中列举了较好眼视力处于20/50与20/100之间的患者的比例。视力处于20/50与20/100之间的1型患者的平均(±SEM)年龄(35.7±4.0岁)与2型患者(34.7±2.7岁)相近(P=0.83)。表中还显示了1型和2型患者中较好眼的视力为20/200或更差的患者的比例。这部分患者中,1型的平均(±SEM)年龄为45.8±5.5岁,2型的为52.4±2.9岁(P=0.26)。这些患者的平均年龄比那些至少一眼视力达到20/40或更好的患者分别大21.2岁和19.2岁。

  图1 最近一次临床随访中1型(圆形)和2型(三角形)Usher综合征患者较好眼的视力VS年龄。绘出1型(实线)和2型(虚线)患者的用于回归分析的二次曲线,右纵坐标表示Snellen视力,左纵坐标为logMAR。LP表示指数,HM表示手动,CF表示光感

  因为选择了至少一眼的视力达到20/40或更好作为主二分反应变量,所以为了避免重复统计而没有对视力介于20/50与20/100间的患者亚组以及20/200或更差的患者亚组进行统计分析。

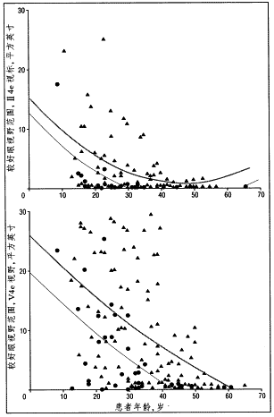
  1型与2型患者的Ⅱ4e视标视野面积均显著缩小(图2,上)。Ⅱ4e视标较大视野(即较好眼)的平均(±SEM)视野面积,在29例1型患者为1.14±0.61平方英寸,在94例2型患者为2.81±0.49平方英寸。1型患者的Ⅱ4e视标视野面积中间值为0.23平方英寸,2型患者为0.66平方英寸。在作Ⅱ4e视标视野检查的患者中,1型患者的平均(±SEM)年龄(29.0±2.2岁),非常显著地小于2型患者(33.6±1.2岁)(P=0.06)。1型与2型患者的Ⅱ4e视标视野面积-年龄曲线(图2,上)的形状无统计上的显著差异(P=0.61;df=2)。两组残存视野面积相比亦无显著性差异(P=0.26)。即使假定两组曲线的形状相似,两组曲线间仍有显著的分离(P=0.001),1型患者的视野损害较为严重(平均视野面积小于2.73平方英寸)。相关系数,R2,为0.29(图2,上)。

图2 最近一次临床随访1型(圆型)和2型(三角型)患者拥有较大视野的眼的Ⅱ4e视标视野(上)和Ⅴ4e视标视野(下)VS年龄。绘出1型(实线)和2型(虚线)患者的用于回归分析的二次曲线

表 1型和2型Usher综合征患者较好眼的视力和中心视损害
  Usher综合征
1型 2型
视力,n/N(%)

  20/40或更好

  20/50至20/100

  20/200或更差

  中心视野>20°,n/N(%)

  V4e视标

  Ⅱ4e视标

  联合中心视野>20°且视力

  达到20/40或更好,n/N(%)

  V4e视标§

  Ⅱ4e视标

  27/53(51)

  17/53(32)

  9/53(17)

  20/34(59)

  6/29(21)

  13/34(38)

  5/29(17)

  87/120(72)

  19/120(16)

  14/120(12)

  70/104(67)

  38/94(40)

  60/104(58)

  33/94(35)

  *视力达到20/40或更好的2型患者多于1型患者(P<0.001年龄标准正差值比3.9)

  P=0.03(年龄标正差值比2.9),1型VS 2型

  P=0.006(年龄标正差值比4.9),1型VS 2型

  §P=0.002(年龄标正差值比4.3),1型VS 2型

  P=0.02(年龄标正差值比3.9),1型VS 2型

  34例1型患者的较好眼的Ⅴ4e视标平均(±SEM)视野面积为5.72±1.24平均英寸,104例2型患者为9.45±0.94平方英寸。Ⅴ4e视标视野面积中间值在1型患者组为1.99平方英寸,2型患者为5.47平方英寸。在测量Ⅴ4e视标视野的患者中,1型患者的平均(±SEM)年龄(29.5±2.1)明显小于2型患者(35.3±1.1岁)(P=0.01)。同样,1型与2型患者的Ⅴ4e视标视野面积-年龄曲线的形状无显著性差异(P=0.36;df=2)。假设两条曲线形状近似,1型患者的视野损害(平均视野面积小于6.22平方英寸)比2型患者明显严重(P<0.001)。在面积-年龄曲线上,1型与2型患者的残存视野面积亦无显著性差异(P=0.54)。相关系数R2为0.31(图2,下)。

  Ⅱ4e和Ⅴ4e视标视野等视力线检查用来确定至少有一眼的同中心中央视野大于20°的患者(表)。在测量Ⅱ4e视标的患者中,1型组的平均(±SEM)年龄(19.6±3.0)比2型组(27.7±1.7)小8.1岁(P=0.06)。用Ⅴ4e视标测量视野的患者中,1型患者的平均(±SEM)年龄(24.8±1.8岁)比2型患者(32.0±1.2岁)小7.2岁(P=0.005)。在一个逻辑回归模型中对年龄变化进行校正后,看来似乎在该模型中Ⅱ4e视标(P=0.006)和Ⅴ4e视标(P=0.03)的同中心中央视野均大于20°的患者中,2型多于1型(校正差值分别为4.9和2.9)。

  如表所示,在至少有一眼视力达到20/40或更好同时该眼的Ⅱ4e视标(P=0.02)和Ⅴ4e视标(P=0.002)的同中心中央视野均超过20°以上的患者中,2型患者多于1型患者(校正差值分别为3.9和4.3)。该结果同样通过一个逻辑回归模型校正了年龄因素的影响。

讨  论

  1型患者的视力和视野损害比2型患者更为严重。视力达到20/40或更好且/或同中心中央视野大于20°的1型患者很可能少于2型患者。虽然大部分1型和2型患者在其一生第五个十年的中期仍保持有20/40或更好的视力,但在此之后视力损害趋于严重。重要的是,在173例Usher综合征患者的人群中仅有7例(4%)的较好眼的视力为指数或更差,无1例患者双眼均无光感。

  直至其一生中第五个十年(大约45岁),1型Usher综合征患者的视力以Snellen视力计较2型患者多降低2行。两组患者中均有相似的视力损害加重的趋势。然而,由于两组的视力-年龄曲线的形状差异(P=0.01),以及年龄大于50岁的病例数较少,统计上证实这种趋势有困难。

  先前曾有报道Usher综合征患者易患在视网膜色素变性患者中可见的后囊下白内障、萎缩样或囊样黄斑损伤以及视网膜前膜等疾患而丧失视觉3~6。1型患者比2型患者更多地患有囊样黄斑损伤,这也许部分促进了该组患者的视力下降6。由于有明显可见白内障的患者均已接受白内障摘除治疗,因此在我们的研究中白内障并非是一个主要影响因素,此外,在我们的患者中系统记录有后囊下白内障的情况5,1型与2型患者其严重程度相近。例如,2型组53例患者中的22例(42%)和2型组的120例患者中的43例(36%)无白内障,53例中的7例(13%)和120例中的12例(10%)已作白内障摘除(数据未列)。

  虽然要成功地完成长时间大样本的Usher综合征的前瞻性研究是困难的,但这一研究会有助于更好地解释这些患者视觉丧失的自然过程。此外,在未来的前瞻性研究中,相关视觉测定以及特定基因突变患者的表型将引起人们的兴趣,诸如从某些1b型Usher综合征患者体内检出的肌浆球蛋白VⅡA基因。

  我们的数据证实了1型患者的视觉损伤比2型患者严重的假设。有趣的是,在这个真实的患者人群中,有51%的1型患者和72%的2型患者至少有一眼视力达到20/40或更好,无一例患者双眼视觉完全丧失。这些发现将有助于全面评价Usher综合征患者。

上一页  [1] [2] 

(来源:美国医学会眼科杂志中文版)(责编:duzhanhui)

下一条: 没有了
更多关于(眼睛,中华眼科在线,眼科)的信息
  热门图文

6个小诀窍让双眼更勾魂

整形美容手术成功的四

宋慧乔三款完美异彩眼

一款超人气日本时尚彩
  健康新看点
  健康多视点
  图话健康

Copyright © 2007 中华眼科在线 网站备案序列号: 京ICP备08009675号
本网站由五景药业主办 北京金鼎盛世医学传媒机构负责运营 国家医学教育发展中心提供学术支持
服务电话:010-63330565 服务邮箱: [email protected]