精彩推荐:青光眼 白内障 近视 远视 散光 斜视弱视 角膜溃疡 角膜炎 沙眼 眼外伤 更多疾病
大众频道
专业频道
时尚频道
互动频道
疾 病 | 保 健 | 爱眼动态 | 名医名院
知 识 | 美 食 | 自检自测 | 爱眼纪事
资 讯 | 临 床 | 学 术 | 文 献
图 谱 | 医 患 | 继 教 | 家 园
五官之美 | 整 形 | 美 容
眼镜一族 | 妆 容 | 图 库
眼科在线 | 预留位置
眼科知道 | 在线咨询
  当前位置: 中华眼科在线 >> 医学频道 >> 继续教育 >> 网上学习 切换到繁體中文 用户登录 新用户注册
肿瘤坏死因子对晶状体上皮细胞原癌基因表达的作用

http://www.cnophol.com 2008-11-26 15:47:56 中华眼科在线

眼科研究 2000年第4期第18卷 实验研究

作者:张晓红 李筱荣 孙慧敏 袁佳琴

单位:300070天津医科大学世界人工晶体中国天津培训中心

关键词:晶状体上皮细胞;肿瘤坏死因子;原癌基因

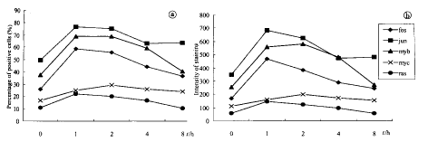
  摘要 目的研究肿瘤坏死因子α(TNF-α)对体外培养的牛眼晶状体上皮细胞中原癌基因fos ,jun,myb,myc,ras等蛋白产物表达的作用。方法细胞经10U/ml TNF-α作用不同时间后,采用卵白素-生物素-过氧化物酶复合物(ABC)免疫酶标技术测定蛋白表达。结果经TNF-α作用后,几种原癌基因表达的阳性细胞百分率均明显增高(P<0.01)。fos ,jun,myb,ras在刺激1h后即达到顶峰,myc在刺激2h后达到顶峰,随后很快下降,恢复至正常水平。同时,细胞的阳性反应强度增加,细胞核内变化更为明显。结论TNF-α通过激活细胞内原癌基因的表达而促进晶状体上皮细胞的增殖。

  分类号 R776

Effects of tumor necrosis factor α on the expression of proto-oncogenes in lens epithelial cells

Zhang Xiaohong Li Xiaorong Sun Huimin et al.

  (International Intraocular Implant Training Centre,Tianjin Medical University,Tianjin 300070)

  Abstract Objective To assess the effects of tumor necrosis factor α(TNF-α)on the expression of proto-oncogenes(fos,jun,myb,myc,ras)in bovine lens epithelial cells(LECs)in vitro.MethodsThe third passage LECs were used for the experiments.5×104/ml cells were seeded in the presence of 10U/ml TNF-α using 24-well tissue culture plate.After 1,2,4,8h,the protein expression was assessed by avidin-biotin-peroxidase complex immunostaining method.ResultsThe incubation with TNF-α increased the percentage of positive cells and the intensity of staining significantly(P<0.01).The expression of fos,jun,myb,ras proteins reached the highest level after incubation for 1h,so did myc protein after 2h-incubation.Jun and ras expression lasted shortly,returning to control level within 4h,while that of fos and myb returned to control level until 8h.All these changes were more apparent in nucleus.ConclusionTNF-α could stimulate proto-oncogene expression,prior to its effect on cell proliferation.TNF-α could stimulate expression of proto-oncogenes to regulate cell cycle.It may play an important role in posterior capsule opacification through promoting LECs proliferation.

  Key words lens epithelial cells tumor necrosis factor proto-oncogene

  晶状体后囊混浊是人工晶状体植入术后的主要并发症,病因尚不十分清楚。体内多种细胞因子对晶状体上皮细胞的作用已越来越受到重视。我们发现肿瘤坏死因子α(tumor necrosis factor-α, TNF-α)对体外培养的牛、人晶状体上皮细胞具有明显的促增殖作用[1]。为进一步了解其作用机制,我们研究TNF-α对体外培养的牛眼晶状体上皮细胞中几种原癌基因蛋白表达的影响。

  1 材料与方法

  1.1 主要试剂

  DMEM培养液为美国Sigma公司产品;胎牛血清(fetal calf serum,FCS)购自中国医学科学院血液学研究所;重组人TNF-α(10U/ng)、抗人myc蛋白抗体、抗人ras蛋白抗体购自北京邦定生物医学公司;抗人fos蛋白、jun蛋白、myb蛋白抗体以及免疫酶标试剂盒购自北京中山生物技术有限公司。

  1.2 细胞培养

  取新鲜牛眼,剪去眼球周围组织及结膜,75%乙醇浸泡两次,各10min。于超净台中沿角膜缘剪开,划断悬韧带,取出晶状体。撕下前囊,经D-Hanks液冲洗后,剪碎,置于DMEM培养液(pH7.2~7.4,含10%FCS)中。37℃,5%CO2,饱和湿度培养。每3天换液1次。

  1.3 TNF-α对牛眼晶状体上皮细胞的作用

  实验选用第3代细胞。将细胞数调整至5×104/ml,接种于24孔培养板(每孔内预置5mm2玻片)内,加入10U/mlTNF-α。培养1,2,4,8h后,取出每孔内玻片,经D-Hanks液冲洗后,室温下晾干,-20℃冰箱保存,备用。

  1.4 原癌基因蛋白产物的测定

  采用卵白素-生物素-过氧化物酶复合物(avidin-biotin-peroxidase comple,ABC)免疫酶标法[2]。一抗为待检抗原相应的抗体,二抗为生物素标记的IgG抗体,三抗为卵白素-辣根过氧化物酶复合物。结果的判定采用阳性细胞百分率法和常规细胞化学强度积分法:前者,每张片子连续计数500个细胞,计算出阳性细胞所占比例;后者,即以-,+,+ +,+ + +,+ + + +5个等级表示反应强度,分别以0~4分计,乘以每级强度的阳性细胞百分率,其总和作为积分值。

  1.5 统计学处理采用配伍设计的秩和检验[3]

  2 结果

  由图la可见,正常对照组细胞中fos,jun,myb,myc,ras等原癌基因蛋白产物均有不同程度的表达。经TNF-α作用后,阳性细胞百分率明显提高(P<0.01)。其中fos,jun,myb,ras蛋白表达均在TNF-α作用1h后达到顶峰,jun和ras持续时间较短,4h即降至接近对照水平;fos和myb到8h恢复正常。myc蛋白在TNF-α作用2h后才升至最高水平,而后缓慢下降。

  由阳性积分面积计算也得到相似的变化趋势(图1b)。经TNF-α作用后,细胞内阳性反应面积增大,颜色加深,由黄色而呈棕色,细胞核内的阳性反应变化更加明显(图2,3)。

图1 TNF-α对晶状体上皮细胞中原癌基因表达的作用

  Fig.1 Proto-oncogene expression in bovine LECs cultured with TNF-α

[1] [2] 下一页

(来源:互联网)(责编:duzhanhui)

下一条: 没有了
更多关于(眼睛,中华眼科在线,眼科,晶状体上皮细胞,肿瘤坏死因子,原癌基因)的信息
  热门图文

今冬最IN尹恩惠贵妇烟

让你更美丽的6条化妆妙

13款最适合你的今冬眼

熬夜族试试敷木瓜除眼
  健康新看点
  健康多视点
  图话健康

Copyright © 2007 中华眼科在线 网站备案序列号: 京ICP备08009675号
本网站由五景药业主办 北京金鼎盛世医学传媒机构负责运营 国家医学教育发展中心提供学术支持
服务电话:010-63330565 服务邮箱: [email protected]