【药品名称】
通 用 名:盐酸林可霉素滴眼液
英 文 名: Lincomycin Hydrochloride
Eye Drops
汉语拼音:Yansuan Linkemeisu Diyanye
【成份】
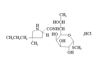
本品主要成份为盐酸林可霉素。化学名称为: 6-(1-甲基-反-4-丙基-L-2-吡咯烷甲酰氨基)-1-硫代-6,8-二脱氧-D-赤式-α-D-半乳辛吡喃糖苷盐酸盐-水合物。
其化学结构式为:

分子式:C18H34N2O6S·HCl·H2O
分子量:461.02
【性状】
本品为无色澄明液体。
【适应症】
用于敏感菌所致的结膜炎,角膜炎等。
【规格】
8ml:0.2g(按C18H34N2O6S计)
【用法用量】
滴眼。
一次1-2滴,一日3-5次。
【不良反应】
偶可有皮疹、瘙痒等过敏反应;过量使用并吸收可致中性粒细胞减低, 血小板减低,念珠菌感染等,尚有耳鸣、眩晕等副作用。
【禁 忌】
1、对本品过敏者禁用。
2、1个月以内的婴儿禁用。
【注意事项】
1、患者对林可霉素过敏时有可能对其他林可霉素类也过敏。
2、林可霉素与新生霉素、卡那霉素有配伍禁忌。
【孕妇及哺乳期妇女用药】
孕妇及哺乳期妇女慎用。
【儿童用药】
1个月以内的婴儿禁用。
【老年用药】
尚不明确。
【药物相互作用】
氯霉素或红霉素在靶位上均可置换林可霉素,或阻抑后者与细菌核糖体50S亚基的结合,故本品不宜与氯霉素或红霉素合用。
【药物过量】
尚不明确。
【药理毒理】
本品对革兰阳性菌如葡萄球菌属(包括耐青霉素株),链球菌等有较高抗菌活性。对少数阴性菌也有良好抗菌活性。本品系抑菌药,高浓度时,对高度敏感细菌也有杀菌作用。作用机制是与敏感菌核糖体的50S亚基结合,阻止肽链的延长,从而抑制细菌细胞的蛋白质合成。本品与氯霉素、四环素类间无交叉耐药,与大环内酯类有部分交叉耐药,与克林霉素有完全交叉耐药性。
【药代动力学】
尚不明确。
【贮藏】
遮光,密闭,在凉暗处(避光并不超过20℃)保存。
【包装】
塑料瓶;8ml/支
【有效期】
暂定24个月
【执行标准】
WS-10001-(HD-0462)-2002
【批准文号】
国药准字H42022544 |