【药品名称】
通 用 名:盐酸吗啉胍滴眼液
英 文 名:Moroxydine Hydrochloride Eye Drops
汉语拼音:Yansuan Malingua Diyanye
【成份】
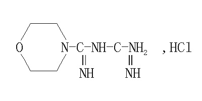
本品主要成份为盐酸吗啉胍,化学名称为:N,N-(2-乙胍基亚氨基)-吗啉盐酸盐
其化学结构式为:

分子式:C6H13N5O·HCl
分子量:207.70
【性状】
本品为无色澄明液体。
【适应症】
用于病毒性结膜炎。
【规格】
8ml:0.32g
【用法用量】
滴眼。
每2小时1次。
【不良反应】
个别患者可有出汗,食饮不振,低血糖等反应。
【禁忌】
对本品过敏者禁用。
【注意事项】
本品性状发生改变禁止使用。
【孕妇及哺乳期妇女用药】
尚不明确。
【儿童用药】
尚不明确。
【老年用药】
尚不明确。
【药物相互作用】
尚不明确。
【药物过量】
尚不明确。
【药理毒理】
本品能抑制病毒的DNA和RNA聚合酶,从而抑制病毒繁殖。在人胚肾细胞上,1%浓度对DNA病毒(腺病毒,疱疹病毒)和RNA病毒(埃可病毒)都有明显抑制作用,对病毒增殖周期各个阶段均有抑制作用。对游离病毒颗粒无直接作用。
【药代动力学】
尚不明确。
【贮藏】
遮光,密封,在凉暗处(避光并不超过20℃)保存。
【包装】
塑料瓶;8ml/支
【有效期】
暂定24个月
【执行标准】
WS-10001-(HD-0652)-2002
【批准文号】
国药准字H42022344 |